2023全国100所名校单元测试示范卷物理g3dy答案,全国100所名校答案网已经编辑汇总了2023全国100所名校单元测试示范卷物理g3dy答案的各科答案和试卷,更多全国100所名校答案请关注本网站。
全国100所名校模拟示范卷数学


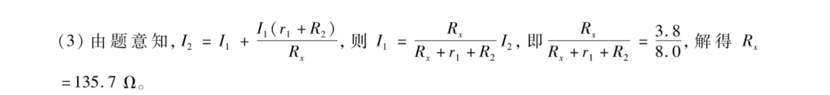
12.【答案】(1)140(2分)(2)R2(2分)R,(1分)见解析(2分)(3)135.7(2分)》【解析】(1)根据欧姆表粗测被测电阻的阻值为1402。(2)由于测量电路的最大电流I=10.6mA,因此电流表A2在测量电路的干路上,A,内阻已知,量程是A,的一半,为了多测量几组数据,尽可能使A,所在支路的电阻与被测电阻的阻值差不多,因此用R2与A,串联后再与R并联,由于要尽可能多测量几组数据,滑动变阻器采用分压电路,选用最大阻值小的R3,电路图如图所示。RR,即R.+,+R,=80(3)由题意知,1=1+B2,则1=R+,+R,2R,一=38,解得R=135.70
全国100所名校单元测试示范卷 高三 数学卷

13.解:(1)设物块与斜面间的动摩擦因数为4,A,B一起补斜而向下做匀速运动时,对整体研究有3mgin8-μ×3mgos0=0(1分)解得4=an1分)对物块A研究,设弹簧的弹力为F,根据力的平衡有2gNi8-F-4×2mgw9=0(2分)解得F=0(1分)(2)设B,C碰撞后一厨间共速度为,根据动量守恒有两=2m,(1分)解得一1分)由于AB,C组成的系统受到的合外力始终为零,因此系统的总动量守恒。设A,B,C达到的共同速度为则3=4me,(1分)3解得华=4(1分)设过程中弹簧的形变量为,B,C一起沿斜面向下运动的币高为,则A沿斜面向下运动的距离为s+x系统或少的重力势能Ee=2 ngssin9+2mg(s+x)m0=2mg(2+x)in队1分)此过程因峰擦产生的内能Q=24 mgscos8+24mg(s+x)cos8=2mg(2s+x)sin9(1分)得到B■Q(1分)根据能量守恒,由于系统减少的重力势能等于摩擦产生的热量,因此减少的动能等于弹箭的弹性势能,则当AB,C速度和h同时.弹箭的弹性势能=×2m2+×2m-x4m=g21分
标签: 全国100所名校理科英语四 全国100所名校考题 全国100所名校政治第十五套

还木有评论哦,快来抢沙发吧~